3898. 统计每个顶点的度
题目描述
给你一个大小为 n x n 的二维整数数组 matrix,以邻接矩阵形式表示一个 无向图。该图包含 n 个顶点,编号从 0 到 n - 1。
matrix[i][j] = 1表示顶点i与顶点j之间存在一条边。matrix[i][j] = 0表示顶点i与顶点j之间不存在边。
顶点的 度(degree)定义为与该顶点相连的边的数量。
请返回一个长度为 n 的整数数组 ans,其中 ans[i] 表示顶点 i 的度。
示例 1:
输入: matrix = [[0,1,1],[1,0,1],[1,1,0]]
输出: [2,2,2]
解释:
- 顶点 0 与顶点 1 和 2 相连,因此其度为 2。
- 顶点 1 与顶点 0 和 2 相连,因此其度为 2。
- 顶点 2 与顶点 0 和 1 相连,因此其度为 2。
因此,答案为 [2, 2, 2]。
示例 2:
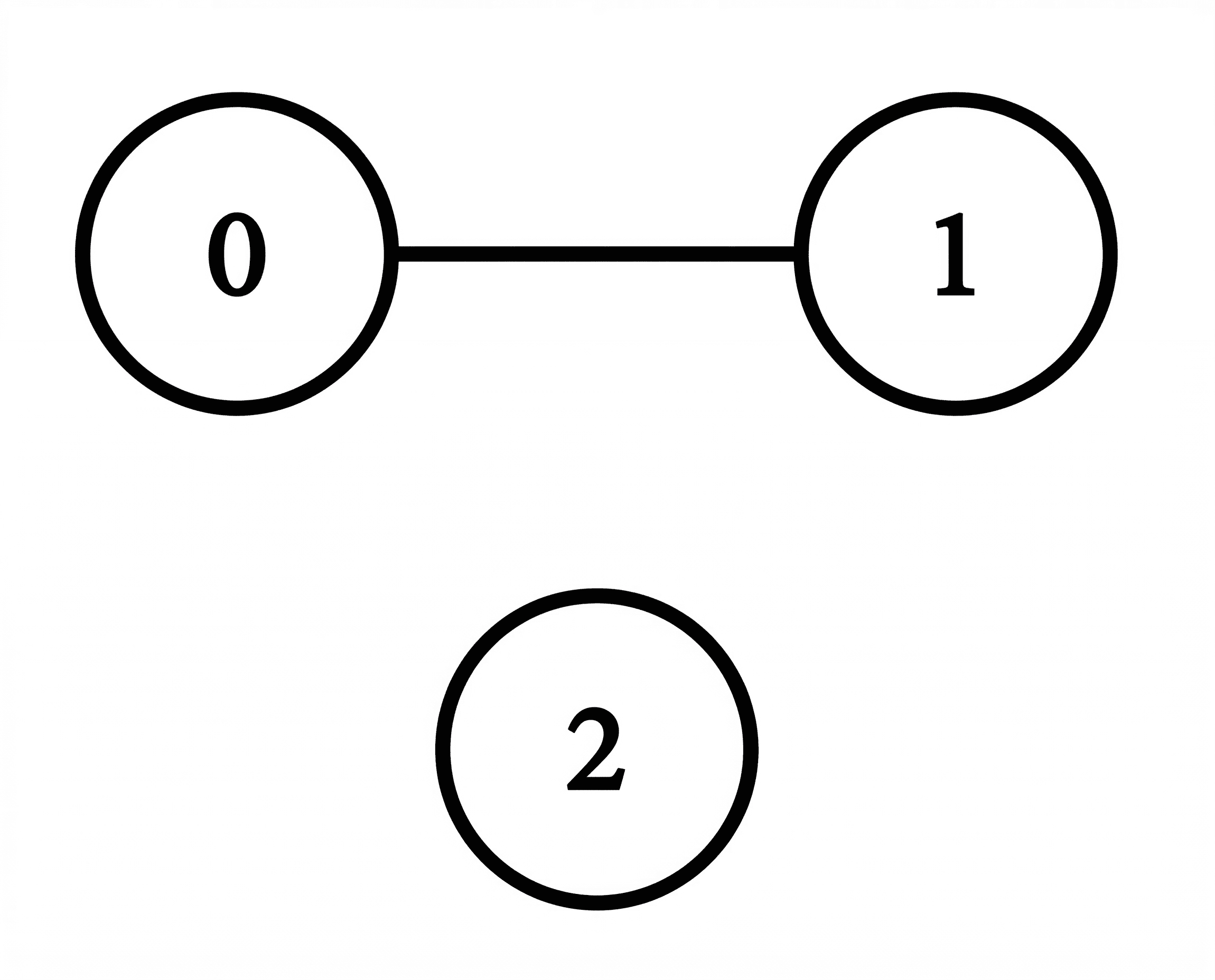
输入: matrix = [[0,1,0],[1,0,0],[0,0,0]]
输出: [1,1,0]
解释:
- 顶点 0 与顶点 1 相连,因此其度为 1。
- 顶点 1 与顶点 0 相连,因此其度为 1。
- 顶点 2 没有与任何顶点相连,因此其度为 0。
因此,答案为 [1, 1, 0]。
示例 3:
输入: matrix = [[0]]
输出: [0]
解释:
图中只有一个顶点,且没有任何边与其相连,因此答案为 [0]。
提示:
1 <= n == matrix.length == matrix[i].length <= 100matrix[i][i] == 0matrix[i][j]仅为 0 或 1matrix[i][j] == matrix[j][i]
解法
方法一:模拟
我们可以直接模拟计算每个顶点的度。
对于每个顶点 \(i\),我们遍历其对应的行 \(\text{matrix}[i]\),统计其中值为 1 的元素的数量,即为顶点 \(i\) 的度。
时间复杂度 \(O(n^2)\),其中 \(n\) 是图中顶点的数量。忽略答案数组的空间消耗,空间复杂度 \(O(1)\)。
1 2 3 4 5 6 7 | |
1 2 3 4 5 6 7 8 9 10 11 12 | |
1 2 3 4 5 6 7 8 9 10 11 12 13 | |
1 2 3 4 5 6 7 8 9 | |
1 2 3 4 5 6 7 8 9 10 | |

